Danh sách 342 ô tô, xe máy "dính" phạt nguội qua camera AI
Phòng CSGT Hà Nội vừa công bố danh sách 342 phương tiện vi phạm giao thông, gồm 82 ô tô và 260 xe máy. Cảnh sát đã gửi thông báo vi phạm đến các chủ phương tiện.
Chiều 6/1, Phòng CSGT Hà Nội cho biết thời gian qua, hệ thống camera AI đã phát hiện, ghi hình 342 phương tiện, bao gồm 82 ô tô, 260 xe máy vi phạm giao thông. Lực lượng chức năng đã gửi thông báo vi phạm đến các chủ phương tiện.
Theo đó, chủ phương tiện, người điều khiển phương tiện có thể tra cứu thông tin phạt nguội trên ứng dụng VNeTraffic hoặc trang thông tin điện tử của Cục CSGT (Bộ Công an) tại địa chỉ www.csgt.vn, hoặc liên hệ trực tiếp Đội Chỉ huy giao thông và điều khiển đèn tín hiệu giao thông, tại số 54 Trần Hưng Đạo, phường Cửa Nam, TP Hà Nội, điện thoại: 0692.196.440 để được hướng dẫn, giải quyết.
Cảnh sát cho biết, đối với người dân cư trú trên địa bàn Hà Nội có thể đến 14 Đội CSGT địa bàn thuộc Phòng CSGT Hà Nội để giải quyết vụ việc vi phạm hành chính.
Danh sách ô tô vi phạm:


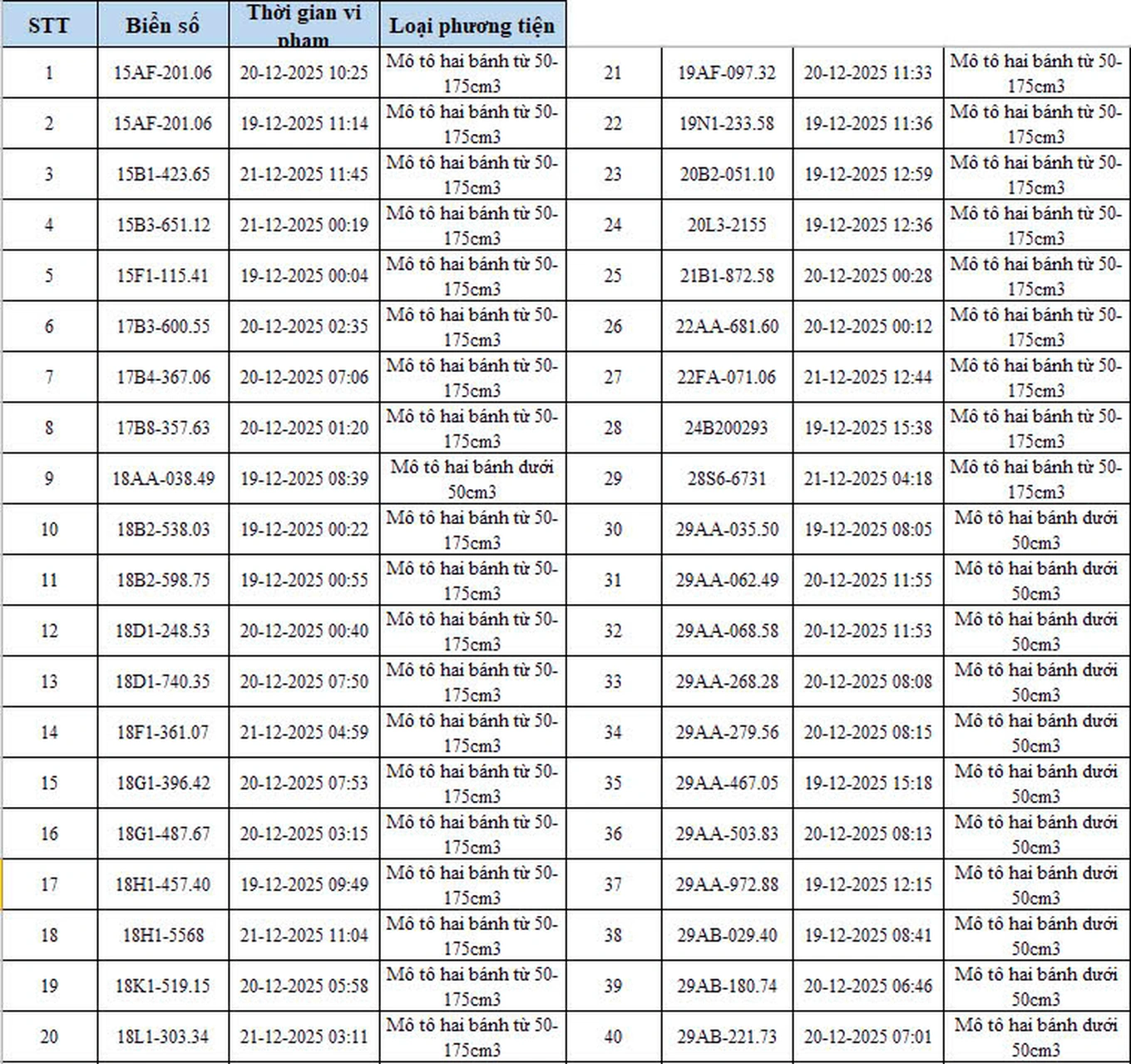
Danh sách xe máy vi phạm:






